Вселенная — это пространство с высокой концентрацией энергии, где субатомные частицы служат непрерывным источником питания. В результате Земля оказывается гораздо более «открытой» системой, чем это считалось ранее. Ранее нейтрино воспринимались как «частицы-призраки», не участвующие в реальных взаимодействиях. Однако возможность их применения для выработки энергии указывает на более интенсивное и согласованное взаимодействие с материей, особенно с графеновыми наноструктурами, чем это предполагалось в традиционных теориях физики элементарных частиц.
В классической физике нейтрино представляют собой частицы, которые с легкостью проходят сквозь целые планеты. Концепция бестопливной технологии электрогенерации Neutrinovoltaic, разработанная группой компаний Neutrino Energy под руководством математика Holger Thorsten Schubart, вызывала скептицизм у многих физиков старой школы, ведь казалось невероятным, что можно использовать то, что едва удается обнаружить. Это название сразу же активировало защитные механизмы традиционной науки, прежде чем были исследованы математические формулы или резонансные эффекты в графене.
Следует отметить, что разработка технологии проводилась экспериментальным путём, однако, после обнародования информации о её создании на учёных обрушилась волна критики от представителей традиционной науки, поэтому встал вопрос о теоретическом обосновании возможности получения электроэнергии от воздействия частиц излучений невидимого спектра. Такое обоснование было полностью сформулировано к концу 2025 года, опираясь на опубликованные к тому времени разрозненные экспериментальные и теоретические исследования независимых учёных. Наибольший вклад в обоснование теоретической возможности Neutrinovoltaic электрогенерации внесла систематизация данных, полученных в следующих работах:
Когерентное упругое нейтрино-ядерное рассеяние (Coherent Elastic Neutrino Nucleus Scattering, CEνNS): Нейтрино обладают крайне слабой способностью взаимодействовать с материей. За время, пока нейтрино преодолевает диаметр Земли, оно всего лишь единожды сталкивается с атомами. Открытие CEνNS позволило обнаружить измеримый физический процесс, при котором энергия нейтрино передаётся атомному ядру. Этот механизм базируется на принципе когерентного сложения амплитуд рассеяния, благодаря чему вероятность взаимодействия значительно возрастает. В итоге ядро-мишень получает импульс и дополнительную энергию.
Эксперимент JUNO 2025 (Jiangmen Underground Neutrino Observatory) проводился для точного измерения потоков, спектров и взаимодействий нейтрино, а также параметров колебаний солнечных и реакторных нейтрино. Точность измерений достигает 3% при энергии 1 МэВ. Кроме того, эксперимент позволяет количественно определить количество событий рассеяния за единицу времени на единицу площади.

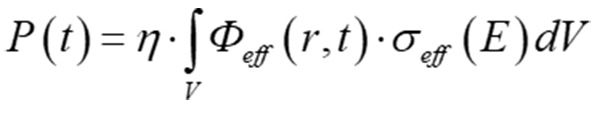
Основная формула технологии Neutrinovoltaic, разработанная группой компаний Neutrino Energy, была выведена математиком Holger Thorsten Schubart на основе принципов квантовой и статистической механики. Эта формула является ключевым звеном, связывающим действие микроскопических частиц с генерацией макроскопической энергии.

Формула учитывает:
• Ф_{eff} - эффективный поток невидимого излучения;
• σ_{eff} - эффективное сечение взаимодействия;
• η - эффективность поглощения энергии;
• Геометрию и плотность слоёв графена и легированного кремния;
• Резонансное усиление микровибраций;
• Подвижность электронов в P-N-переходах.
Ядром Neutrinovoltaic технологии является многослойный материал из чередующихся 2D слоёв графена и легированного кремния, являющийся преобразователем энергии. Он работает на уровне квантового возбуждения, используя фононы, плазменные возбудители и электроны. Его основные достоинства раскрываются в трёх важных направлениях:
1. В данной технологии передача энергии не зависит от макроскопических градиентов. Энергия переносится через локальный поток импульса и энергетический поток, что обеспечивается плотностью квантованных событий.
Передача осуществляется дискретными «порциями» — квантовыми переходами между состояниями системы. Частота этих событий определяет мощность потока энергии. Это исключает коллективное движение макроскопических объектов, что значительно снижает макроскопические потери, такие как трение, теплопроводность и рассеяние энергии на дефектах материала.
2. Высокая межфазная плотность в многослойных структурах предполагает наличие максимального количества границ раздела между слоями на единицу объема. Это приводит к увеличению площади активных поверхностей, которые взаимодействуют с частицами, такими как нейтрино и ядра. В результате, энергетические процессы концентрируются на наноуровне. Параллельные связи играют ключевую роль в этом процессе. Каждый атомный слой в такой структуре действует как активный элемент. Рассеяние нейтрино, ядерные взаимодействия и передача энергии через колебания решетки происходят благодаря плоской параллельной связи, а не традиционной точечной. Это существенно повышает эффективность улавливания энергии на единицу объема. Особая архитектура материала, характеризующаяся многослойностью и параллельными связями, значительно улучшает эффективность энергоулавливания.
3. Когерентное распространение квантованных вибраций представляет собой важное свойство. Микроскопические колебания, такие как фононы и плазменные экситоны, способны преодолевать значительные расстояния в двумерных проводящих материалах, включая графен. Это открывает возможность для суперпозиции и усиления множества микроскопических воздействий, преодолевая ограничения, связанные с низкой энергией отдельных событий.
Преобразование энергии частиц, полей, излучений невидимого спектра в электрический ток осуществляется за счёт пьезоэлектрического эффекта, трибоэлектрического эффекта и флексоэлектрического эффекта, имеющих место в многослойном материале.
Переход от макроскопического движения к микроквантовой суперпозиции — главное отличие Neutrinovoltaic технологии от других методов получения энергии. В этом и заключаются её неоспоримые шансы и преимущества, которые до сих пор не были задействованы для создания инновационной технологии генерации чистой и безопасной энергии для всех.
Авторы: Holger Thorsten Schubart, Румянцев Л.К.
Цена нефти марки Brent впервые с июня 2022 года превысила $119 за баррель
Цена нефти марки Brent с поставкой в мае 2026 года на лондонской бирже ICE превысила $119 за баррель впервые с 17 июня 2022 года, свидетельствуют данные торгов. По данным на…
Роль нефти и газа России в мировой экономике. Главное о встрече Дмитриева с делегацией США
Спецпредставитель президента РФ по инвестиционно-экономическому сотрудничеству с зарубежными странами, глава РФПИ Кирилл Дмитриев провел во Флориде встречу с представителями администрации США. ТАСС собрал основное о контактах. О встрече Дмитриев сообщил,…
Зависимость от российской нефти. Главное о решении США ослабить нефтяные санкции в отношении России
Министерство финансов США сняло санкции с операций по продаже нефти и нефтепродуктов из России, загруженных на суда до 12 марта. Опубликованная Управлением по контролю за иностранными активами (OFAC) этого ведомства…
МО: за ночь над регионами России сбили 176 украинских БПЛА
Силы ПВО за ночь сбили 176 украинских БПЛА над российскими регионами, сообщили в Минобороны РФ. Губернатор Севастополя Михаил Развожаев сообщил, что атака на город в ночь на 13 марта была…
Хинштейн: за сутки ВСУ обстреляли из артиллерии районы Курской области 96 раз
Вооруженные силы Украины атаковали с помощью 62 беспилотников различного типа территорию Курской области за прошедшие сутки, 96 раз применили артиллерию по отселенным районам. Об этом сообщил губернатор региона Александр Хинштейн.…
Хинштейн: аналогов операции «Поток» по освобождению Суджи нет
Губернатор Курской области Александр Хинштейн поздравил жителей с годовщиной освобождения приграничного города Суджа, который был оккупирован ВСУ в августе 2024 года. Он отметил, что аналогов операции "Поток", участники которой преодолели…
Европе понадобилась рабочая «Дружба» между Украиной и Венгрией
Конфликт Украины и Венгрии вокруг нефтепровода «Дружба» получил неожиданное развитие: после отказа К...
Мудрость выступает в роли морального компаса для творческого мышления
Недавнее исследование, опубликованное в журнале Intelligence, показало, что мудрость играет ключевую...
Когда вам покажется, что вы не справитесь, вспомните, что вы из поколения, которое писало сочинения на три страницы. Из головы! Ручкой на большой перемене!
Этот сайт использует файлы «cookie» с целью повышения удобства его использования. Во время посещения сайта вы соглашаетесь с тем, что мы обрабатываем ваши персональные данные с использованием сервиса «Яндекс. Метрика». Продолжая использовать сайт, вы соглашаетесь с Политикой конфиденциальности.
Зарегистрировано Федеральной службой по надзору в сфере связи, информационных технологий и массовых коммуникаций
(Роскомнадзор). Реестровая запись от 07.06.2022 серия ЭЛ № ФС 77 – 83392. При использовании, полном или частичном
цитировании материалов planet-today.ru активная гиперссылка обязательна. Мнения и взгляды авторов не всегда совпадают с
точкой зрения редакции. На информационном ресурсе применяются рекомендательные технологии (информационные технологии
предоставления информации на основе сбора, систематизации и анализа сведений, относящихся к предпочтениям пользователей
сети "Интернет", находящихся на территории Российской Федерации)".